网罗天下图书 传承中华文明
     
为读者找书,为书找读者.... 本馆宗旨--传承中华文化!
 
联系QQ:83790508,联系微信:zx135cn
 
| 网站首页 | 史料文献 | 常用软件 | 联系我们 |
 
 
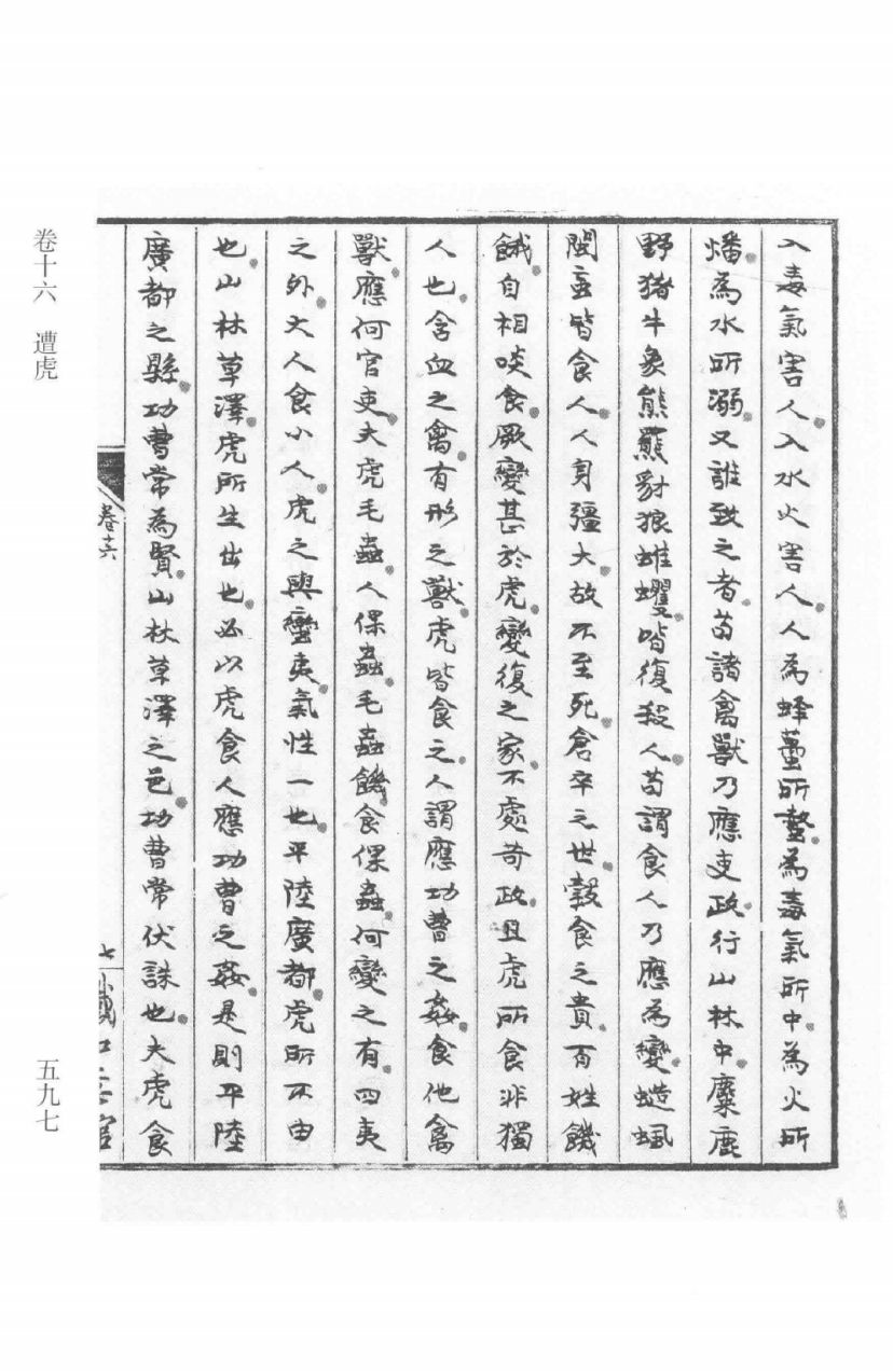
(浙江文丛)校注论衡(汉)共3册
介绍

(浙江文丛)校注论衡(汉)共3册

资料编号:KW10679

文件格式:pdf

文件大小:611M

作者:王充

出版社:浙江古籍出版社

出版时间:2017

文丛中所收文献,以点校后排印或据原本影印两种方式出版。对文献的整理,只据底本与参校本、参校资料等进行校勘标点,对底本文字的讹、夺、衍、倒作正、补、删、乙,有需要说明的问题,则作出校记,—般不作注释。每种图书,在不与本文丛编纂总则冲突的情况下,可以根据本著作实际情况,另行制定整理凡例。     
民国文献中的用语、数字、标点等,除特殊情况外,一般不作改动。

目录介绍如下:

001校注论衡(汉)王充著;张宗祥校注(2017)上册.pdf 220.39 MB
002校注论衡(汉)王充著;张宗祥校注(2017)中册.pdf 192.06 MB
003校注论衡(汉)王充著;张宗祥校注(2017)下册.pdf 199.26 MB

 
 
返回首页
 
----
联系QQ:83790508,联系微信:zx135cn
2025------2035